
ក្នុងពិធីប្រណាំងទូករៀបចំដោយរដ្ឋបាលខេត្តកណ្ដាល នៅទន្លេបាសាក់ ក្រុងតាខ្មៅ នាថ្ងៃទី២៩ និង៣០ ខែតុលាកន្លងទៅនេះ ទូក ង «សារាយតេជោសែនជ័យ» មកពីវត្តពិជ័យរង្ស៊ី ឃុំពុកឬស្សី ខេត្តកណ្ដាល បានបន្តឈរកំពូលតារាង ផ្នែកទូកអុំបុរសដែលមានល្បឿនលឿនបំផុត សម្រាប់ការប្រណាំងសរុបចំនួន៤ជើង។

លោក សាន សុខហៀង អ្នកគ្រប់គ្រងទូក ង «សារាយតេជោសែនជ័យ» បានផ្ដល់ប្រវត្តប្រណាំងនៃទូកងល្បីមួយនេះមកកាន់សារព័ត៌មានត្រយង។ ជាការកត់សម្គាល់ ក្នុងព្រះរាជពិធីបុណ្យអុំទូក បណ្ដែតប្រទីប សំពះព្រះខែ និងអកអុំបុក ឆ្នាំ២០១៤ «សារាយតេជោសែនជ័យ» មិនស្គាល់ឈ្នះសូម្បីមួយជើង ក្នុងចំណោមការអុំប្រណាំងទាំង៦ជើង នារយៈពេល៣ថ្ងៃនៃព្រះរាជពិធី។

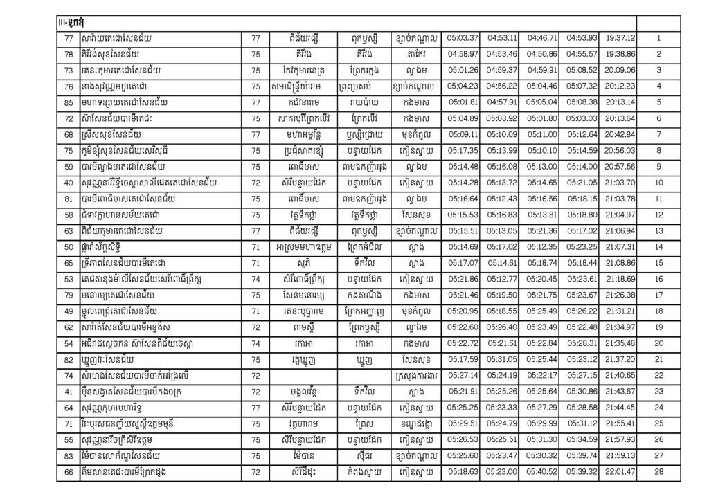
ខាងក្រោមនេះជាប្រវត្តប្រណាំងរបស់ទូក ង «សារាយតេជោសែនជ័យ» គិតពីឆ្នាំ២០១៤ដល់ឆ្នាំ២០១៩៖




ដោយឡែកសម្រាប់ឆ្នាំ២០២២ ក្នុងព្រឹត្តិការណ៍ប្រណាំងទូកនៅក្រុងតាខ្មៅថ្មីៗនេះវិញ ទូក ង «សារាយតេជោសែនជ័យ» ទទួលបានជ័យជម្នះទាំង៤ជើង។ ខាងក្រោមនេះគឺជាតារាងថេរៈវេលាទាំងទូកង «សារាយតេជោសែនជ័យ» និងបណ្ដាទូកងផ្សេងៗទៀតដែលត្រយងទទួលបានពីមន្រ្តីសាលាខេត្តកណ្ដាល៖


